INTRODUCCIÓN
La educación es uno de los objetivos primordiales que tienen los Gobiernos tanto de países primermundistas como aquellos en desarrollo, ya que disminuye las tasas de desempleo y pobreza, lo cual mejora la calidad de vida de las sociedades. Particularmente, el Gobierno peruano, a pesar de haber desarrollado repetidas reformas dentro del sistema educativo, aún no encuentra una política sólida, estable y eficiente que contribuya con el desarrollo y formación de los ciudadanos.
Desafortunadamente, al no tener los resultados esperados en educación a largo plazo, esto queda reflejado en la situación de las familias que no disponen de los ingresos económicos suficientes para adquirir alimentos, ropa o acceder a una vivienda (Arregui, Benavides y Cueto, 2004). Por consiguiente, muchos niños se ven obligados a trabajar para aportar a la economía familiar y, en el extremo de los casos, son utilizados como una fuente de ingresos.
En Perú, ante el cierre de escuelas debido a la crisis de la pandemia, las familias buscaron mejorar sus ingresos mediante el trabajo realizado por sus hijos, por lo que priorizaron el empleo por encima de la educación. En ese contexto, en el año 2020, la tasa de trabajo infantil se incrementó en 9,9 puntos porcentuales en comparación con el año 2019 (Instituto Nacional de Estadística e Informática, 2020). Por lo tanto, se puede observar que, si un niño no tiene acceso a la educación, evidentemente no tendrá otra alternativa que ingresar al mercado laboral informal, donde es obligado a trabajar en condiciones que no garantizan su integridad física y moral (Internacional de la Educación, 2013).
Las estimaciones muestran que, a pesar de haberse “disminuido en 94 millones a nivel mundial desde el año 2000, la tasa de reducción [del trabajo infantil] se desaceleró en dos tercios en los últimos años” (Naciones Unidas, 2021, párr. 4). En términos absolutos, hay 152 millones de niños trabajando en el mundo y casi la mitad del trabajo infantil (73 millones), es decir, 1 de cada 10 niños se encuentra realizando trabajos peligrosos (Organización Internacional del Trabajo, 2020). Por su parte, de acuerdo con la Organización Iberoamericana de Seguridad Social (2017), son aproximadamente 12,5 millones de niños entre 5 y 17 años que representan el 9% del trabajo infantil de la región de América Latina. Debido a la pandemia del COVID-19, podría verse un incremento considerable, ya que las familias más vulnerables, al no tener suficientes ingresos, optarían por emplear a sus hijos.
Por ello, la educación es un elemento necesario, pero el verdadero desafío es impulsarla desde los primeros niveles de formación del niño para que sea aprovechada a futuro. En ese sentido, la Comisión Económica para América Latina y el Caribe (2010) sostiene que la educación básica “nivela las capacidades de aprendizaje al inicio de la trayectoria educativa, factor determinante en los niveles de educación posteriores” (p. 223), por lo que si se compara a los niños y adolescentes que ingresan a la vida laboral después de los 18 años con aquellos que trabajaron y perdieron tres o más años de educación, se observa que estos últimos se han visto limitados de capital y oportunidades laborales, lo cual los conducirá a obtener menores ingresos en su adultez. De modo que, si se busca reducir el trabajo infantil, es fundamental ampliar el gasto público para alcanzar una educación gratuita y obligatoria, así como una educación de calidad, ya que esta juega un rol muy importante y, según Becker (1994), representa un medio para crear capital humano o personas con capacidades productivas.
Con respecto al gasto público, se puede señalar que desde principios de la Edad Contemporánea, los Gobiernos empezaron a controlar y organizar el sistema educativo sobre la base de dicho gasto, el cual, según Pereyra (2002), es un indicador monetario que asume el sector público con el fin de brindar la mejor calidad de servicios educativos, cuya importancia radica en que está dirigido a combatir el atraso económico, incrementar la productividad del trabajo y mejorar la distribución del ingreso. Por lo tanto, es deber del Estado garantizar el eficiente gasto público en educación y cumplir con el manejo responsable, oportuno y equilibrado de las políticas públicas educativas.
Para el caso de Perú, Guadalupe, León, Rodríguez y Vargas (2017) afirmaron que “el gasto en este rubro [de educación] se ha venido incrementando de manera sostenida en los últimos quince años y el gasto por estudiante ha dado un salto muy grande desde principios del presente siglo” (p. 244). Sin embargo, aunque existe un gasto, este no ha demostrado que sea eficiente en cuanto a la calidad educativa brindada a nivel nacional y, mucho menos, en la sierra rural.
De acuerdo con los datos estadísticos provenientes de la Encuesta Nacional de Hogares (ENAHO) del año 2011 (Ministerio de Trabajo y Promoción del Empleo, 2012), se observa que el desarrollo de actividades económicas en los niños, niñas y adolescentes es más frecuente en el ámbito rural del país, representado por el 58,7%, y de dicho grupo, el 87% trabaja en la chacra y/o pastoreo de animales.
En particular, Cajamarca y Huancavelica, en los últimos 10 años, mantienen el índice de pobreza monetaria más alto, 43,8% y 50,9%, respectivamente, en comparación con el resto de los departamentos (Instituto Nacional de estadística e Informática, 2021). El trabajo infantil en Huancavelica para el año 2019, en su mayoría, estaba conformado por aquellos que tenían primaria incompleta y vivían en hogares donde el jefe de hogar se dedicaba a la agricultura, silvicultura y pesca (Caballero, 2021). En el año 2015, el trabajo infantil “representaba el 79% del total (…) convirtiéndose en el departamento con la tasa más alta de concentración de trabajo infantil de todo el Perú” (De La Cruz y Gonzales, 2017, p. 5), pues los infantes y adolescentes participaban en actividades como la agricultura, pastoreo y otros trabajos domésticos sin ningún estipendio.
Las características socioeconómicas propias de Cajamarca son similares a las de Huancavelica, por lo tanto, el trabajo infantil también está presente en cierta población específica. En el área rural, niños, niñas y adolescentes cajamarquinos se dedican a labores relacionadas con la agricultura y pastoreo sin ningún tipo de remuneración; mientras que, en el área urbana, gran parte de los niños y adolescentes se dedican a trabajar en ladrilleras, servicio de combis y comercios ambulatorios.
Las estadísticas de trabajo infantil en Cajamarca han tenido constantes variaciones, entre el año 2012 y 2013. La tasa de ocupación se ha incrementado considerablemente, pues pasó de 55,3% a 67,3% con una variación porcentual de 21,7%; mientras que, a partir del año 2013, esta cifra nuevamente se redujo pasando de 67,3% a 56,7%, con una variación porcentual de -15,8%, de acuerdo con la plataforma de Estadística de la Calidad Educativa (Ministerio de Educación, Unidad de Estadística Educativa, 2020c). De este modo, durante todo el periodo, el trabajo infantil en Cajamarca aumentó en 6,3%.
De esta manera, queda en evidencia que la pobreza es un factor determinante que incide en el trabajo infantil, mientras que uno de los factores subyacentes es la ausencia de educación gratuita, obligatoria y de calidad. La gran incertidumbre yace en si los Gobiernos regionales de Cajamarca y Huancavelica utilizan los recursos del Estado destinados para el gasto en educación, y si es que realmente se obtiene el retorno esperado debido a que, en los últimos años, según la Organización Internacional del Trabajo y Ministerio de Trabajo y Promoción del Empleo del Perú (2016), tales departamentos han tenido un comportamiento heterogéneo en la alta tasa de ocupación de los niños.
Siendo así, el presente estudio pretende responde la siguiente interrogante: ¿El gasto público en educación impactó en el trabajo infantil en Cajamarca y Huancavelica durante el periodo 2012-2020? Por lo que se planteó como hipótesis: “El gasto público en educación impactó en el trabajo infantil en Cajamarca y Huancavelica durante el periodo 2012-2020”.
MATERIAL Y MÉTODOS
La población estuvo compuesta por todas las series estadísticas históricas del gasto público en educación por alumno, tanto para el nivel primario como secundario (variable independiente), y la tasa de trabajo infantil (variable dependiente) en Cajamarca y Huancavelica en el periodo 2012-2020 (se considera este periodo dado que no hay data de años anteriores en la plataforma de Estadística de Calidad Educativa [Ministerio de Educación]).
La contrastación de la investigación fue de carácter no experimental, pues la variable no fue alterada por los autores; transversal, porque los datos de las variables del periodo de 2012 hasta 2020 se obtuvieron en un solo momento; y explicativo, ya que explica el impacto de la variable independiente, gasto público en educación (GPE), sobre la variable dependiente, porcentaje de niños, niñas y adolescentes que trabajan (PNAT).
Como técnica se empleó el uso de datos de panel y para la recolección se optó por el análisis documental de los registros estadísticos que provino de fuentes secundarias como el Instituto Nacional de Estadística e Informática (INEI), la Encuesta Nacional de Hogares (ENAHO) y la plataforma de Estadística de la Calidad Educativa (ESCALE), de la cual se extrajeron los indicadores de gasto público por alumno y la tasa de niños de 5 a 17 años que trabajan. Para comprobar la hipótesis planteada, se aplicó un modelo de mínimos cuadrados en dos etapas.
RESULTADOS
La plataforma de Estadística de la Calidad Educativa muestra una tendencia creciente en los valores absolutos para el gasto público por alumno de primaria en Cajamarca y Huancavelica, departamento que no solo tuvo más gastos durante los últimos años, sino que, además, para el año 2019 gastó más de S/ 1873 por alumno en comparación con Cajamarca, como se observa en la Tabla 1.
Tabla 1 Gasto público en educación por alumno, primaria (soles corrientes)

Fuente: Elaboración propia a partir de los datos de la plataforma de ESCALE (Ministerio de Educación, Unidad de Estadística Educativa, 2020a)
La Figura 1 muestra la evolución y el crecimiento exponencial del gasto en educación primaria por alumno en soles corrientes de los departamentos de Cajamarca y Huancavelica, donde se observa que este último tuvo un crecimiento en el año 2017 de 4,25% más que el año anterior, mientras que en el 2019 fue de 17,14%, obteniendo 2,52% más en relación con el año 2018. Por su parte, Cajamarca solo creció 2,47% en el año 2017, siendo su pico más elevado. En el último año de estudio, tuvo una reducción de 0,78%, debido al recorte de presupuesto y reducción del canon minero.

Fuente: Elaboración propia a partir de los datos de la plataforma de ESCALE (Ministerio de Educación, Unidad de Estadística Educativa, 2020a)
Figura 1 Evolución del gasto público en educación por alumno, primaria
El gasto público en educación para el nivel secundario en soles corrientes se observa en la Tabla 2, el cual se obtuvo del análisis de los datos estadísticos publicados en la plataforma de ESCALE (Ministerio de Educación, Unidad de Estadística Educativa, 2020b) de los departamentos de Cajamarca y Huancavelica, donde se resalta que el gasto de Huancavelica vuelve a ser mayor que el de Cajamarca.
Tabla 2 Gasto público en educación por alumno, secundaria (soles corrientes)

Fuente: Elaboración propia a partir de los datos de la plataforma de ESCALE (Ministerio de Educación, Unidad de Estadística Educativa, 2020b)
Con el fin de analizar los picos de alza y las principales variaciones, se muestra la Figura 2. Desde una perspectiva general, se puede ver el crecimiento del gasto público por alumno en ambos departamentos, a excepción del año 2016, fecha en la que se tuvo una desaceleración negativa de 0,31% y 0,02% para Cajamarca y Huancavelica, respectivamente, mientras que en el último año se tuvo un crecimiento de 2,77% para Huancavelica y de 0,70% para Cajamarca, esto debido a que en Huancavelica se logró una cobertura mayor en el nivel secundario, siendo el departamento que ha tenido un gasto público por encima del promedio nacional.

Fuente: Elaboración propia a partir de los datos de la plataforma de ESCALE (Ministerio de Educación, Unidad de Estadística Educativa, 2020b)
Figura 2 Evolución del gasto público en educación por alumno, secundaria
La Figura 3 muestra la evolución de la tasa de ocupación obtenida durante el periodo 2012-2019, donde se observa que, en el último año, el porcentaje de la tasa de ocupación a nivel nacional se redujo de 33,8% a 26%; sin embargo, para el departamento de Cajamarca las cifras no disminuyeron, al contrario, se obtuvo un aumento de 3,5 puntos porcentuales, mientras que para Huancavelica el panorama fue distinto, ya que se disminuyó en 12,1 puntos porcentuales, lo cual tiene relación con el mayor gasto público en educación en dicha región.

Fuente: Elaboración propia a partir de los datos de la plataforma de ESCALE (Ministerio de Educación, Unidad de Estadística Educativa, 2020c)
Figura 3 Evolución del porcentaje de niños, niñas y adolescentes que trabajan con edades de 5-17
La reducción del trabajo infantil a nivel nacional que se observa durante el periodo 2012-2019 puede deberse a cambios económicos, políticos, demográficos y sociales en el Perú, pero a fines del 2019 e inicios del 2020 lo más inesperado fue la pandemia del COVID-19. Esto último fue motivo para no considerar el año 2020 en las tablas, debido a los fuertes quiebres que incidían en las variables y con el fin de mantener ceteris paribus los efectos que ocasionó.
Por ello, lo que explicaría dicha reducción sería el crecimiento económico, cambios en el mercado de trabajo, progresos del bienestar de la población, disminución de la pobreza, mayor inversión en educación y mejora en la calidad y cobertura de la oferta educativa; además también podría considerarse dicha reducción como resultado de la aplicación orientada por el Gobierno peruano a nivel intersectorial e intergubernamental como estrategia nacional para la prevención y erradicación del trabajo infantil 2012-2020 (Ministerio de Trabajo y Promoción del Empleo, 2012).
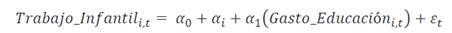
Para determinar el impacto del gasto público en educación en el trabajo infantil se plantea el siguiente modelo econométrico lineal en los parámetros:
La Tabla 3 muestra los resultados del modelo 1:
Tabla 3 Modelo de estimación inicial de impacto del gasto por alumno en educación a la tasa de trabajo infantil

Fuente: Elaboración propia
En la Tabla 3, se observa que el impacto del gasto en educación presenta las siguientes relaciones:
Un aumento en el gasto público por alumno, en primaria, reduce la tasa de trabajo infantil. Un aumento en 1% del gasto público permitiría reducir en promedio la tasa de trabajo infantil en 0,0047%. En cifras en niveles en soles, al nivel actual de gasto público en soles por alumno en primaria, un aumento de cada S/ 100 reduciría la tasa de trabajo infantil en 0,0161%.
Un aumento en el gasto público por alumno, en secundaria, reduce la tasa de trabajo infantil. Un aumento en 1% del gasto público permitiría reducir en promedio la tasa de trabajo infantil en 0,0024%. En cifras en niveles en soles, al nivel actual de gasto público en soles por alumno en secundaria, un aumento de cada S/ 100 reduciría la tasa de trabajo infantil en 0,0072%.
El modelo cumple todas las condiciones requeridas; sin embargo, se revisaron posibles problemas de endogeneidad, realizando una estimación con variables instrumentales como se detalla a continuación en la Tabla 4 con un modelo de mínimo cuadrados en dos etapas.
Tabla 4 Modelo de estimación de respaldo de impacto del gasto por alumno en educación a la tasa de trabajo infantil

Fuente: Elaboración propia
El modelo de gasto en educación total incluye el detalle de gasto en educación en soles por alumno en primaria y secundaria como variables instrumentales, lo que permite confirmar una consistencia en los parámetros.
El resultado del gasto total en educación en soles por alumno es de -0,0078%. Ello considerando que, en el modelo inicial, el impacto del gasto en educación en soles por alumno en primaria era de 0,0047% y el de secundaria, 0,0024%, la suma de estos valores es de 0,0071%, que captura casi en su totalidad el efecto del gasto educación en soles por alumno. Dentro de los parámetros con los valores de error estándar, la estimación capturaría el efecto total.
A pesar de ser estimaciones simples, los resultados son claros y precisos al coincidir con la evidencia teórica, estadística y econométrica de la economía de la educación. Los valores de efectos fijos son consistentes y estables para ambas estimaciones de datos de tipo panel, según se observa en la Tabla 5.
Tabla 5 Efectos individuales del modelo
| ID | Región | Efecto individual |
|---|---|---|
| 1 | Cajamarca | -0,075063 |
| 2 | Huancavelica | 0,075063 |
Fuente: Elaboración propia
El método de estimación de efectos fijos permite notar al efecto fijo individual como una distancia de cada región al mismo nivel y el origen del promedio de la base de datos. Al ver los resultados, se interpreta que Huancavelica posee condiciones adversas al bienestar económico, puesto que tiene características propias que aumentan el nivel de trabajo infantil, a diferencia de Cajamarca que, de forma relativa a Huancavelica, posee condiciones que le permiten acentuar dicho problema.
Las condiciones técnicas de los supuestos considerados se dan en el siguiente orden:
Un coeficiente de correlación de 0,80. Entonces, el 80,98% de lo estudiado en la variable dependiente es explicado por las variables independientes. El valor elevado puede representar un problema de multicolinealidad; sin embargo, con el análisis de covarianzas de coeficientes del modelo y la independencia de sección cruzada no son un problema en el modelo.
La suma al cuadrado de los residuos es de 0,03 que muestra un alto nivel de ajuste a las variables explicativas.
Los estimadores son significativos en conjunto, lo cual se ve en la prueba F y en los test de las pruebas de Wald.
La autocorrelación de primer orden es superada, viendo el estadístico Durbin Watson con un valor de 2,08 que cumple las especificaciones necesarias.
El modelo permite generar escenarios a futuro con un error de predicción de 3,43%.
Con ello, el modelo logra cumplir sus especificaciones técnicas respaldadas en las teorías de la economía de la educación, según los objetivos de la presente investigación. Por lo tanto, se acepta la hipótesis con significancia estadística de la existencia de una relación negativa entre el gasto público en educación y el trabajo infantil: dado un aumento en 1% del gasto público en educación primaria, permitiría reducir en promedio la tasa de trabajo infantil en 0,0047%. En cifras en soles, un aumento de cada S/ 1000 reduciría la tasa de trabajo infantil en 0,161%, mientras que el gasto público en educación secundaria permitiría reducir en promedio la tasa de trabajo infantil en 0,0024%. En cifras en soles, un aumento de cada S/ 1000 reduciría la tasa de trabajo infantil en 0,072%.
DISCUSIÓN
Los resultados fueron congruentes, ya que se evidencia que existe un impacto negativo del gasto público en educación en el trabajo infantil en Cajamarca y Huancavelica, pues dado un aumento en 1% del gasto público en educación primaria, permitiría reducir en promedio la tasa de trabajo infantil en 0,0047%, mientras que el gasto público en educación secundaria permitiría reducir en promedio la tasa de trabajo infantil en 0,0024%. Esto concuerda con los resultados de Kirabo (2015), quien determinó con modelos de variables instrumentales que un aumento del 10% en el gasto por alumno cada año durante los 12 años de escuela pública de Estados Unidos conduce a 0,31 años más de educación completa y a una reducción de 3,2 puntos porcentuales en el impacto anual de pobreza adulta; sin embargo, cabe mencionar que para el caso de dicho país las reformas de financiamiento escolar se aceleraron para obtener resultados a largo plazo.
Los resultados también coinciden con el estudio realizado por la Organización Iberoamericana de Seguridad Social (2017), al determinar que existe un impacto negativo y significativo del gasto público en educación en el trabajo infantil en los 16 países latinoamericanos aplicados, donde un aumento de 1% en el gasto público en educación puede reducir en 0,62% el trabajo infantil, lo que quiere decir que cuanto mayor es el gasto en educación, menor es la tasa de trabajo infantil.
Asimismo, los resultados obtenidos concuerdan con el informe de la Organización Internacional del Trabajo (2017a) que plasmó las estimaciones de distintos indicadores en 105 países, los cuales representan el 70% de la población mundial, teniendo como resultado que la educación es un elemento decisivo y eficaz para reducir de forma significativa el trabajo infantil.
Del mismo modo, el informe de la Organización Internacional del Trabajo (2017b) guarda similitud con la presente investigación al determinar que la tasa de trabajo infantil se asocia inversamente con el gasto público social per cápita y gasto público en educación en los 18 países latinoamericanos aplicados, reflejando así la importancia de la inversión pública en educación para lograr reducciones significativas del trabajo infantil.
El estudio apunta a recomendar que, para futuras investigaciones, se consideren otras variables de interés, como por ejemplo: ¿Qué pasaría si se incluye la tasa neta de asistencia, el porcentaje de alumnos con atraso escolar, la tasa de deserción escolar, la infraestructura educativa o el nivel de ingresos por hogar como variables de control del impacto del gasto público en educación en el trabajo infantil?, con la finalidad de dar mayor ajuste al comportamiento de las variables y encontrar si la relación es similar a la presente investigación. Además, es importante difundir información del impacto del gasto público en educación en el trabajo infantil para poder sugerir estudios más minuciosos que sirvan para tomar mejores decisiones en cuanto a políticas públicas, reformas y generación de programas educativos, con un enfoque principal en el nivel primaria, ya que, según los resultados obtenidos en el presente trabajo, una ampliación del gasto en este nivel reduciría en mayor medida el trabajo infantil.

















