Servicios Personalizados
Revista
Articulo
Indicadores
-
Citado por SciELO
Links relacionados
-
Similares en
SciELO
Compartir
Revista de la Sociedad Química del Perú
versión impresa ISSN 1810-634X
Rev. Soc. Quím. Perú vol.83 no.2 Lima abr./jun. 2017
TRABAJOS ORIGINALES
Diseño y caracterización teórica de materiales fotoactivos eficientes basados en derivados de Antra[2,3-c]Pirrol y Antra[2,3-c]Tiofeno para celdas solares orgánicas
Theoretical characterization and design of efficient photoactive materials based on Anthra[2,3-c]Pyrrole and Anthra[2,3-c]Thiophene derivatives aimed towards organic solar cells
Walter Cuadro Bautista*a, Adolfo Ensuncho Muñoza, Juana R. Roblesa
a Facultad de Ciencias Básicas, Grupo de Química Computacional (GQC), Universidad de Córdoba, Cra. 6ª N°76-108, Montería, Colombia, wjcuadro@gmail.com
RESUMEN
En este estudio, hemos diseñado una serie de electrodonadores del tipo D-π-A que contienen dos diferentes fragmentos π enlazadores para obtener los derivados del antrapirrol (D-APR-A) y el antratiofeno (D-ATF-A), que podrían ser utilizados en celdas solares orgánicas (OSCs) de heterounión de volumen (BHJ). Estos derivados fueron diseñados y caracterizados usando cálculos DFT and TDDFT. El fragmento aceptor de anclaje fue el 2-metilenmalononitrilo para todos los electrodonadores mientras que el fragmento cromóforo permutaba entre tiofeno, trifenilamina, difenilamina. La estimación de la energía de los orbitales HOMO- LUMO fue discutida. Las propiedades que afectan el fotovoltaje de circuito abierto (VOC) y la densidad de fotocorriente de corto circuito (JSC) de los derivados D-π-A fueron investigadas, tales como estructura geométrica, energía de la fuerza motriz del excitón, energía del gap y espectros de absorción. Los cálculos teóricos de TDDFT utilizando el Método de Atenuación de Coulomb CAM-B3LYP fue capaz de predecir las propiedades del estado excitado. Los electrodonadores D-π-A muestran una eficiencia estimada de conversión fotoeléctrica (PCE) superior al 10%. Los derivados del antrapirrol mezclados con el éster metílico del ácido [6,6]-fenil-C61-butírico (PC61BM) son los complejos con mejores propiedades fotoeléctricas, siendo el derivado D -APR-A el de mejor proyección con una PCE del 13,39%, por tanto, estos complejos son propuestos como material fotoactivo en la construcción de celdas solares orgánicas de heterounión de volumen.
Palabras clave: celda solar orgánica, derivados D-APR-A, derivados D-ATF-A, métodos DFT, eficiencia de conversión fotoeléctrica.
ABSTRACT
In this research we have designed electron donors D-π-A type containing two different π fragments to obtain anthrapyrrole (D-APR-A) and anthratiophene (D-ATF-A) derivatives, proposed for the use in organic bulk hetero-junction (BHJ) solar cells (OSCs). These derivatives were characterized by DFT and TD-DFT calculations. For all the electron donors the anchorage fragment was 2-methylenemalononitrile, while the chromophore fragment was spanned between diphenylamine, triphenylamine, thiophene. Estimation of the energy from HOMO and LUMO orbitals was discussed. Properties affecting open-circuit photovoltage (VOC) and short-circuit photocurrent (JSC) from D-π-A type derivatives were investigated, such as geometric structure, exciton driving force energy, energy gap and absorption spectra. Theoretical calculations from TD-DFT within Coulumb Attenuation Method CAM-B3LYP were able to predict excited state properties. The electron donors D-π-A type exhibit an estimated photoelectric conversion efficiency (PCE) above 10%. The anthrapyrrole derivatives along with the [6,6]-phenyl-C61-butyric acid methyl ester (PC61BM) are the complexes with higher photoelectric properties, being the Da-APR-A derivative the best projection with a PCE of 13,39%, therefore, these complexes are proposed as photoactive materials in the construction of organic bulk hetero-junction solar cells.
Key words: organic solar cell, D-APR-A derivatives, D-ATF-A derivatives, DFT methods, photoelectric conversion efficiency.
INTRODUCCIÓN
El constante crecimiento de la demanda de energía a nivel mundial, combinado con el agotamiento de los recursos derivados del petróleo y los riesgos de calentamiento global, se ilustra la necesidad urgente de fuentes alternativas de energía renovable1. Siendo las celdas solares orgánicas (OSCs) una potencial alternativa "verde" para la generación de energía eléctrica, ya que estas son comercialmente atractivas por su bajo costo de fabricación, semitransparentes, bajo peso, flexibilidad física, fácil integración, y su buen desempeño en presencia de luz solar difusa, además este tipo de celdas son sostenibles y amigables con el ambiente1-3.
Recientemente, las celdas solares orgánicas (OSC) han surgido como una nueva tecnología emergente para competir con las celdas solares tradicionales basadas en Silicio2-4. Para llevar esta tecnología a una gran escala y hacerla comercialmente viable es necesario alcanzar una eficiencia de conversión fotoeléctrica (PCE) superior al 10% y garantizar un tiempo de vida útil de 10 años5-7.
La capa fotoactiva de las OSCs, generalmente, está constituida por dos componentes, uno electrodonador (D) y otro electroaceptor (A), ensamblados en una estructura bi-capa o en forma de mezcla, conocida como heterounión de volumen (BHJ)1,8. Las OSCs del tipo BHJ han mostrado una mayor eficiencia respecto a los dispositivos convencionales en forma de bi-capa2.
El éster metílico del ácido [6,6]-fenil-C61-butírico (PC61BM) es uno de los componentes electroaceptores con mejores propiedades semiconductoras, por su capacidad de capturar electrones, amigable con el ambiente e incrementa la estabilidad de la capa fotoactiva, por tanto, mejora las propiedades fotovoltaicas de las OSCs del tipo BHJ2,8-10.
La molécula electrodonadora está conformada por un fragmento cromóforo, un fragmento enlazador π-conjugado y un fragmento aceptor de anclaje, denotado como sistema electrodonador [D-π-A] y esta configuración permite una mayor captura de luz del espectro solar3,5,6,9,11,12. Una gran variedad de cromóforos se han estudiado como trifenilmetanos, azulenos, indolinas, perilenos, cumarinas, cianinas, hemicianinas, carotenoides, fenotiazinas, fenoxazinas, etc.3,4,11,12. Respecto a los enlazadores o puentes π-conjugados, generalmente se utilizan grupos heterocíclicos, por su mayor estabilidad ambiental y como fragmentos aceptores de anclaje se tienen funciones de ácido carboxílico, ácido malónico o ácido cianoacrílico3,6,11,12. En el desarrollo de las OSCs los grupos cromóforos trifenilamina, difenilamina y derivados de tiofeno exhiben excelentes propiedades ópticas y fotovoltaicas, como también los derivados del ácido malónico en el fragmento aceptor8,6,11,12.
Paralelamente a los estudios experimentales sobre estos materiales orgánicos fotoactivos, las investigaciones teóricas han comenzado a constituir una importante fuente de información que complementa los datos experimentales, contribuyendo así en el diseño racional y en la predicción de propiedades ópticas, electrónicas y fotovoltaicas en los sistemas captadores de luz a nivel molecular y a su vez reduce el grado de empirismo en estas investigaciones1,9.
La química computacional ha permitido publicar numerosos estudios, utilizando diferentes metodologías como la Teoría del Funcional de la Densidad (DFT) y la Teoría del Funcional de la Densidad Dependiente del Tiempo (TD-DFT) para diseñar, evaluar y predecir propiedades fotovoltaicas de los materiales fotoactivos utilizados en OSCs1,3,5,6,9,11-14. Por tal razón, muchos investigadores sugieren que los métodos de química cuántica podrían ilustrar moléculas electrodonadoras eficientes y así estudiar las propiedades que afectan el rendimiento del dispositivo fotovoltaico, minimizando costos y ahorrando esfuerzos de síntesis6.
En 2006, Scharber et al.8 proponen un modelo empírico que describe cómo estimar la PCE de las celdas solares orgánicas de BHJ, y para ello requiere la energía de los orbitales frontera HOMO-LUMO de los componentes electrodonador y electroaceptor del material fotoactivo. El modelo Scharber predice claramente algunas propiedades fotovoltaicas, tales como energía del gap (ΔEH-L), densidad de fotocorriente de corto circuito (JSC), fotovoltaje de circuito abierto (VOC) y la PCE cuando se utiliza en conjunto con la metodología DFT2,10,13,14.Sin embargo, Bérubé et al.7 observaron una sobrestimación en las propiedades electrónicas y fotovoltaicas de algunos componentes fotoactivos, que fueron estudiadas con la DFT y se analizaron con los datos experimentales, por tanto, en esta investigación se tiene en cuenta la estimación ajustada de la energía de los orbitales HOMO-LUMO.
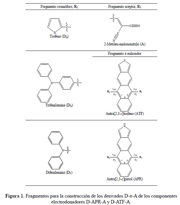
En el presente estudio, hemos investigado teóricamente el éster metílico del ácido [6,6]-fenil-C61-butírico (PC61BM) como componente electroaceptor y cuatro componentes electrodonadores del tipo D-π-A utilizando la DFT y la TD-DFT, señalando los siguientes derivados D -APR-A, D -APR-A, D -APR-A y D -ATF-A que pueden ser considerados moléculas D-π-A, donde los grupos tiofeno (D ), trifenilamina (D ) y difenilamina (D ) son utilizados como fragmento cromóforo (R ); el antra[2,3-c]pirrol (APR) y el antra[2,3-c] tiofeno (ATF) son utilizados como fragmento π enlazador; y el 2-metilen-malononitrilo (A) es utilizado como fragmento aceptor de anclaje (R ) (figura 1).
FUNDAMENTOS TEÓRICOS
El modelo Scharber2,8 es un modelo empÃrico para predecir PCE de las celdas solares orgánicas (OSCs) con una arquitectura de heterounión de volumen (BHJ), donde se estiman teóricamente las propiedades fotovoltaicas de estos dispositivos a partir de la energÃa de los orbitales frontera HOMO-LUMO.
La eficiencia de conversión fotoeléctrica (PCE) de una celda fotovoltaica bajo irradiación solar (por ejemplo AM 1.5G) puede ser determinada por la densidad de fotocorriente de corto circuito (JSC) y el fotovoltaje de circuito abierto (VOC). La PCE puede ser expresada por la siguiente ecuación5:
donde, FF es el factor de forma o de relleno eléctrico, el cual es proporcional a la potencia máxima de la celda solar y Pinc es la potencia de luz incidente. La relación entre JSC, VOC, FF y las estructuras electrónicas de los componentes fotoactivos es todavÃa desconocida.
Generalmente, la densidad de fotocorriente de corto circuito JSC puede ser determinada como15:
donde, q es la carga elemental, EQE es la eficiencia cuántica externa y es el flujo de fotones asociado al espectro de irradiancia solar AM 1.5G.
El fotovoltaje de circuito abierto VOC puede ser determinado por:
donde, e es la carga elemental, LUMOaceptor y HOMOdonador es la energÃa del orbital frontera del PC61BM y los electrodonadores tipo D-Ï-A respectivamente y el valor de 0.3 eV es un factor empÃrico asociado a las interfaces de los componentes que constituyen el material fotoactivo2,7,8.
DETALLES COMPUTACIONALES
Todos los cálculos en este estudio fueron desarrollados con el paquete de Software Gaussian 0316. La teorÃa del funcional de la densidad (DFT) con el funcional de intercambio de tres parámetros de Becke17, y el funcional de correlación Lee-Yang-Parr (B3LYP)18, y el conjunto base 6-31G(d) fue empleado para investigar la optimización geométrica del estado fundamental (S0) en fase gas de la molécula electroaceptora y las moléculas electrodonadoras del tipo D-Ï-A. Para la estimación de la energÃa de los orbitales frontera HOMO-LUMO de los componentes fotoactivos se tuvieron en cuenta las ecuaciones ajustadas propuestas por Bérubé et al.7. Las cuales pueden ser expresadas como:
En trabajos recientes, se ha observado que los estados de transferencia de carga enen sistemas D-π-A se describen , mejor cuando se utiliza un alto porcentaje de intercambio HF en el funcional3,5,11. Po-r -lo tanto, para la evaluación de las propiedades del estado excitado se implementaron cálculos a punto simple, utilizando un funcional con interacciones de largo alcance TD-CAM-B3LYP19.
RESULTADOS Y DISCUSIÓN
Propiedades geométricas
Para comprender la transferencia de carga intramolecular y las propiedades de empaquetamiento Ï-Ï intermolecular en moléculas orgánicas Ï-conjugadas es necesario identificar los factores estructurales que son influenciados por la arquitectura molecular. En particular, las propiedades de transferencia de carga intramolecular pueden ser analizadas en función de las longitudes de enlace (LB1 y LB2), la alteración de longitud de enlace (BLA) y los ángulos diedros (D1 y D2) (figura 1) calculados entre el fragmento R1/R2 y el fragmento Ï-enlazador de las moléculas D-Ï-A se encuentran listados en la tabla 1.
Las estructuras optimizadas de los electrodonadores D-APR-A, D-ATF-A y el electroaceptor PC61BM se muestran en la figura 2, obtenidos con el nivel de teorÃa B3LYP/6-31G(g) en el vacÃo.
El fragmento difenilamina (D ) de las moléculas D-APR-A y D-ATF-A, muestran menos impedimento estérico con los fragmentos π-enlazadores y se observan longitudes de enlaces más cortos L (1,431 1,429 Å) (tabla 1). El fragmento aceptor 2-metilen-malononitrilo (A) es el mismo para todos los derivados D-π-A y se observa una tendencia similar en la longitud de enlace LB1 (1,451 1,456 Å) (tabla 1) entre el fragmento π-enlazador y el fragmento aceptor de anclaje.
Para estimar el grado de conjugación del fragmento π-enlazador empleamos el parámetro de alteración de longitud de enlace (BLA)6,10, utilizando las longitudes de enlace del anillo aromático descritas en la figura 1.
El BLA puede ser expresado como:
Los resultados muestran que las moléculas Da-APR-A y Db-ATF-A poseen los más bajos BLA (0,041 0,039) (tabla 1), lo cual significa que los electrones π tienen buena deslocalización y redistribución, mejorando la transferencia y transporte de carga intramolecular y además garantiza un desplazamiento distintivo hacia el rojo como respuesta espectral6.
En la tabla 1, se observan los ángulos diedros (D y D ) (figura 1) de los derivados D-π-A. Debido a los efectos estéricos entre los diferentes fragmentos que constituyen la molécula electrodonadora, estos sistemas moleculares exhiben una conformación no planar (figura 2), lo cual puede influir, en cierta medida, en la transferencia de carga intramolecular y el empaquetamiento π-π en el estado sólido5,6. Y estos resultados muestran que los fragmentos tiofeno (D ) y difenilamina (D ) inducen un menor impedimento estérico en la molécula electrodonadora.
Propiedades electrónicas
En las OSCs, la energía de los orbitales frontera HOMO-LUMO de los componentes fotoactivos tiene una estrecha relación con las propiedades fotovoltaicas7.
Por lo tanto, empleamos las ecuaciones (4) y (5) propuestas por Bérubé et al.7, para la estimación de la energía de los orbitales moleculares HOMOESTLUMOEST, respectivamente, ya que su determinación es un paso crucial en el diseño de nuevos materiales fotovoltaicos y los resultados se encuentran registrados en la tabla 2.
En la tabla 2, se observa que la energÃa del orbital HOMOEST de los derivados D-APR-A posee un valor promedio de -4,90 eV y en el derivado D-ATTF-A posee un valor de -5,08 eV, exhibiendo una mayor conjugación π en los primeros derivados debido a la mayor contribución electrónica del átomo de N del anillo pirrólico en el fragmento π-enlazador y esto se manifiesta con valores más bajos en la energía del gap (ΔEH-L) y, consecuentemente, mejorando las propiedades fotovoltaicas5. En lo que respecta a la energía del orbital LUMOEST los valores son muy similares en todos los derivados D-π-A, en promedio -3,36 eV. Wu et al.4 reportaron la energía de los orbitales HOMO-LUMO del electroaceptor PC BM (-6,10 eV / -3,70, respectivamente) obtenidos de forma experimental, los cuales tienen mucha correlación con los datos teóricos registrados en la tabla 2 (-5,78 eV/-3,71 eV, respectivamente).
Energía de la fuerza motriz del excitón
Un parámetro muy importante que ayuda a predecir el grado de transferencia de carga eficiente entre eficiente entre los componentes del material fotoactivo de las OSCs, es la estimación de la energÃa de la fuerza motriz del excitón (ÎE), la cual se puede calcular como una diferencia de energÃa de orbitales LUMOs de la molécula electrodonadora y el electroaceptor (PC61BM)14. La ÎE puede ser expresada como6:
Los resultados muestran que la energÃa (ÎE) de todos los derivados D-Ï-A poseen un valor superior a 0,3 eV (tabla 2), por lo cual se puede garantizar una división eficiente de los excitones y se asegura una eficiente transferencia de electrones entre el componente electrodonador y el electroaceptor y, además, se minimizan las pérdidas de energÃa por recombinación de los portadores de carga5,13. También se observa que la energÃa (ÎE) de los derivados D-APR-A poseen valores levemente más altos, mejorando asà este parámetro, y esto se debe a la alta densidad electrónica que le aporta el átomo de N del anillo pirrólico a la molécula como un todo.
Propiedades ópticas
Para los materiales fotoactivos de las OCSs, las moléculas electrodonadoras juegan un papel importante en la absorción de luz solar, porque el electroaceptor PC61 BM tiene una absorción débil en la región visible y el infrarrojo cercano. Para investigar la absorción de los electrodonadores se utilizo la TDDFT con el funcional CAM-B3LYP, donde se evalúan algunas propiedades, tales como energías de excitación, osciladores de fuerza para excitaciones electrónicas, composición de las transiciones verticales y espectros de absorción UV/VIS simulados5,11. Los correspondientes parámetros espectroscópicos de los derivados D-π-A fueron resumidos en la tabla 3 y las curvas de absorción simuladas son presentadas en la figura 3.
Los espectros muestran un perfil similar para todos los derivados, los cuales presentan una banda principal intensa entre los 540 nm y 800 nm. Esta banda corresponde a la transición dominante de electrones del orbital HOMO al LUMO, es decir, del orbital molecular π (fragmentos cromóforos π-enlazador) al orbital π* (fragmento aceptor) y este proceso puede ser adscrito a la transferencia de carga intramolecular. Los picos de absorción máximo calculados (λmax) también son atribuidos a la transición HOMO LUMO, los cuales están alrededor de los 640 nm (tabla 3). En general, la posición y el ancho de la banda principal en el espectro son dos parámetros que pueden estar relacionados con la eficiencia del material electrodonador, ya que amplitudes mayores en regiones de baja energía (VIS IR cercano) favorecen los procesos de captación de luz solar6,11. En la tabla 3 observamos que las energías de excitación (E ) son significativamente bajas en todos los derivados D-π-A, lo cual indica que podrían capturar más luz a longitudes de onda más altas y a su vez incrementar la PCE de la celda solar11.
Propiedades fotovoltaicas
Las OSCs, basadas en una estructura de BHJ, generalmente representan una mezcla de un electrodonador π conjugado con un electroaceptor derivado del fullereno2,4-6,9. Por tanto, examinamos el comportamiento fotovoltaico de los derivados D-π-A mezclados con el PC BM, el cual es un electroaceptor ampliamente utilizado en dispositivos relacionados con celdas solares. Los principales parámetros fotovoltaicos se relacionan en la tabla 4.
Las propiedades fotovoltaicas estimadas de los derivados D-APR-A y D-ATF-A, registradas en la tabla 4, fueron determinadas teóricamente y hasta el momento no se han reportado valores experimentales. El valor de la energía del gap (ΔEH-L) puede ser determinada como la diferencia entre la energía del orbital LUMO y el orbital HOMO del componente electrodonador D-π-A9. Basados en la ecuación (2), en la energía ΔEH-L y el espectro de irradiancia solar AM 1.5G (ASTM G173)20, se estimó la densidad de fotocorriente de corto circuito (JSC) para todos los derivados D-π-A, asumiendo una eficiencia cuántica externa (EQE) del 80%2. Los resultados muestran que los derivados D-APR-A poseen los valores más bajos en la energía ΔE y, debido a esto, se incrementa sustancialmente la J y la eficiencia de conversión fotoeléctrica (PCE) (tabla 4). Para calcular el fotovoltaje de circuito abierto (VOC) de los derivados D-π-A se utilizó la ecuación (3), y se puede observar que el derivado del antratiofeno (D-ATF-A) posee el valor más alto de V, lo cual indica una mejora en los procesos de transferencia de electrones desde la molécula electrodonadora excitada a la banda de conducción del electroaceptor (PC BM)9, pero esto no es suficiente para reflejar una alta PCE (tabla 4). En la estimación de la eficiencia de fotoconversión de los materiales fotoactivos se utilizó la ecuación (1), donde se asume un factor de forma (FF) del 65%2, y se puede observar en la tabla 4 que los derivados del antrapirrol (D-APR-A) poseen los valores más altos de fotoconversión (PCE). Sin desconocer que los aspectos morfológicos de la capa fotoactiva juegan un papel determinante en la eficiencia real de las OSCs de BHJ2.
CONCLUSIONES
Hemos diseñado una serie de electrodonadores D-π-A que contienen diferentes fragmentos cromóforos que fueron combinados con dos fragmentos π enlazadores para obtener los derivados del antrapirrol (D-APR-A) y el antratiofeno (D-ATF-A). Las propiedades geométricas, electrónicas, ópticas y fotovoltaicas de los sistemas diseñados fueron investigadas mediante cálculos DFT con los niveles de teoría B3LYP/6-31G(d) y TD-CAM-B3LYP/6- 31G(d). Los derivados D-π-A exhibieron una conformación no planar, siendo los fragmentos tiofeno (D ) y difenilamina (D ) los que muestran menos efectos estéricos, reflejando así una alta conjugación y redistribución de los electrones π, mejorando la transferencia y transporte de carga intramolecular. La energía de la fuerza motriz del excitón (ΔE) de todos los derivados D-π-A poseen un valor superior a 0,3 eV, lo cual puede garantizar una división eficiente de los excitones. Los espectros de absorción UV/VIS simulados muestran un perfil similar para todos los electrodonadores, los cuales presentan una banda principal intensa entre los 540 nm y 800 nm. En general, los derivados del antrapirrol (D-APR-A) poseen las mejores propiedades fotovoltaicas comparado con el derivado del antratiofeno (D-ATF-A), donde se observaron valores bajos en la energía del gap (ΔE H-L) (1,50 1,62 eV) y valores altos en la densidad de fotocorriente de corto circuito (JSC) (19,99 23,45 mAcm-2), lo cual es consecuente con una elevada eficiencia de conversión fotoeléctrica (PCE) asumiendo un factor de forma (FF) del 65%, siendo el derivado D -APR-A el de mejor proyección con una PCE del 13,39%. Por tanto, estos derivados pueden ser potencialmente utilizados en celdas solares orgánicas (OSCs) de heterounión de volumen (BHJ) y además se evidencia la importancia del estudio teórico de los orbitales moleculares HOMO-LUMO en la predicción de propiedades fotovoltaicas en el diseño racional de materiales fotoactivos.
AGRADECIMIENTO
Los autores agradecen a la Universidad de Córdoba por el apoyo económico brindado para la realización de esta investigación.
BIBLIOGRAFÍA
1. Agnihotri N. Computational studies of charge transfer in organic solar photovoltaic cells: A review. J Photoch Photobio C. 2014; 18: 18. [ Links ]
2. Scharber M, Sariciftci N. Efficiency of bulk-heterojunction organic solar cells. Prog Polym Sci. 2013; 38: 1929. [ Links ]
3. Fu J-J, Duan Y-A, Zhang J-Z, Guo M-S, Liao Y. Theoretical investigation of novel phenothiazine-based D-π-A conjugated organic dyes as dye-sensitizer in dye-sensitized solar cells. Comp Theor Chem. 2014; 1045: 145-153.
4. Wu Z, Fan B, Xue F, Adachi C, Ouyang J. Organic molecules based on dithienyl-2,1,3- benzothiadiazole as new donor materials for solution-processed organic photovoltaic cells. Sol Energ Mat Sol C. 2010; 94: 2230. [ Links ]
5. Tai C-K, Hsieh C-A, Hsiao K-L, Wang B-C, Wei Y. Novel dipolar 5,5,10,10-tetraphenyl- 5,10-dihydroindeno[2,1-a]-indene derivatives for SM-OPV: A combined theoretical and experimental study. Org Electron. 2015; 16: 54. [ Links ]
6. Wang D, Zhang X, Ding W, Zhao X, Geng Z. Density functional theory design and characterization of D-A-A type electron donors with narrow band gap for smallmolecule organic solar cells. Comp Theor Chem. 2014; 1029: 68. [ Links ]
7. Bérubé N, Gosselin V, Gaudreau J, Côté M. Designing polymers for photovoltaic applications using ab Initio calculations. J Phys Chem C. 2013; 117: 7964. [ Links ]
8. Scharber M, Mühlbacher D, Koppe M, Denk P, Waldauf C, Heeger A, Brabec C. Design rules for donors in bulk-heterojunction solar cells towards 10% energyconversion efficiency. Adv Mater. 2006; 18: 789. [ Links ]
9. Bourass M, Touimi A, Hamidi M, Benzakour M, Mcharfi M, Sfaira M et. al. DFT theoretical investigations of π-conjugated molecules based on thienopyrazine and different acceptor moieties for organic photovoltaic cells. J Saudi Chem Soc. 2016; 20 (S1): S415-S425.
10. Azazi A, Mabrouk A, Alimi K. Theoretical investigation on the photophysical properties of low-band-gap copolymers for photovoltaic devices. Comp Theor Chem. 2011; 978: 7. [ Links ]
11. Fitri A, Benjelloun A, Benzakour M, Mcharfi M, Hamidi M, Bouachrine M. Theoretical design of thiazolothiazole-based organic dyes with different electron donors for dye- sensitized solar cells. Spectrochim Acta A. 2014; 132: 232. [ Links ]
12. Tai C-K, Chen Y-J, Chang H-W, Yeh P-L, Wang B-C. DFT and TD-DFT investigations of metal-free dye sensitizers for solar cells: Effects of electron donors and π-conjugated linker. Comp Theor Chem. 2011; 971: 42.
13. Yu M, Zhang L, Peng Q, Zhao H, Gao J. Narrow-band gap benzodipyrrolidone (BDPD) based donor conjugated polymer: A theoretical investigation. Comp. Theor Chem. 2015; 1055: 88. [ Links ]
14. Liu X, He R, Shen W, Li M. Molecular design of donor-acceptor conjugated copolymers based on C-, Si- and N-bridged dithiophene and thienopyrroledione derivatives units for organic solar cells. J Power Sources. 2014; 245: 217. [ Links ]
15. Nayak P, Garcia-Belmonte G, Kahm A, Bisquert J, Cahen D. Photovoltaic efficiency limits and material disorder. Energy Environ Sci. 2012; 5: 6022. [ Links ]
16. Frisch MJ, Trucks GW, Schlegel HB, Scuseria GE, Robb MA, Cheeseman JR, et. al. Gaussian 03. Wallingford CT: Gaussian Inc.; 2004. [ Links ]
17. Becke AD. Density-functional exchange-energy approximation with correct asymptotic behavior. Phys Rev B. 1988; 38: 3098. [ Links ]
18. Lee C, Yang W, Parr RG. Development of the Colle-Salvetti correlation-energy formula into a functional of the electron density. Phys Rev B. 1988; 37: 785. [ Links ]
19. Yanai T, Tew D, Handy N. A new hybrid exchange-correlation functional using the Coulomb-attenuating method (CAM-B3LYP). Chem Phys Lett. 2004; 393: 51. [ Links ]
20. Reference solar spectral irradiance: Air Mass 1.5 [Internet]. 2017 [citado el 5 abril 2017]. Disponible en: http://rredc.nrel.gov/solar/spectra/am1.5/ [ Links ]
Recibido el 15-05-17
Aprobado el 28-06-17













