INTRODUCCIÓN
El uso de los indicadores antropométricos para relacionarla con la diabetes ha cobrado una relevancia en el campo académico. Muchas investigaciones relacionan medidas antropométricas y marcadores bioquímicos para predecir la aparición de la diabetes. Un diseño de estudio PURE (Population Health Research Institute) realizado en algunas comunidades en Colombia, para evaluar la asociación entre la circunferencia de la cintura, fuerza de agarre, peso corporal y la edad1. La Circunferencia de la cintura fue el principal factor de riesgo para una puntuación MetS alta.
Un estudio longitudinal en niños con diabetes mellitus tipo 1, desde 5 a 18 años de edad en un Hospital al noroeste de Brazil; a las mediciones antropométricas, se sumó los valores de triglicéridos y hemoglobina glucosilada; el fenotipo de cintura trigliceridemica (CHTG), presentan mayor índice de masa corporal y hemoglobina glucosilada con una significancia de p <0,052.
La circunferencia de la cintura, con una medición en un plano horizontal, entre el margen inferior de la costilla y el borde superior de la cresta ilíaca, de acuerdo a las directrices de la Organización mundial de la Salud3, sigue demostrando que es un mejor predictor para diabetes que el índice de masa corporal4.
El objetivo del estudio fue evaluar la capacidad discriminativa de predicción de diabetes con indicadores antropométricos, bioquímicos y antecedentes. Los indicadores antropométricos, bioquímicos y de antecedentes resultan ser buenos discriminadores para predecir diabetes mellitus, además de poseer un buen nivel de sensibilidad y especificidad5.
MÉTODOS
Diseño y área de estudio
Estudio longitudinal para evaluar la capacidad discriminativa de predicción de diabetes con los indicadores antropométricos, bioquímicos y antecedentes, mediante dos modelos, el análisis de las curvas ROC y regresión logística binaria, en el personal de salud del Hospital Universitario de Guayaquil.
Población y muestra
Debido a que el objetivo del estudio era evaluar la capacidad discriminativa en de indicadores antropométricos en los empleados de salud del hospital y al ser la población no mayor a 200, se decidió realizar un muestreo de tipo censal, incluyendo a todos los trabajadores que cumplían con los criterios de inclusión (no tener diabetes). La muestra estuvo conformada por 104 trabajadores de salud de ambos sexos, entre noviembre del 2020 a enero del 2021. Se obtuvo acceso a la ficha médica electrónica que consta en la base de datos en el servicio de estadística. En el análisis se excluyó al personal con diagnóstico de diabetes mellitus tipo 2.
Variables e instrumentos
Las variables de estudio son las siguientes: datos generales (edad, sexo, antecedentes patológicos personales, familiares y como signos vitales la tensión arterial normal <130 mmHg sistólica y < 80 mmHg la diastólica)6; la evaluación antropométrica, por peso (kg) , talla (cm) , índice de masa corporal (IMC), valores de 25-29,9 kg/m2 y de ≥ 30 kg/m2, definidos como sobrepeso y obesidad; el perímetro abdominal (cm), valores normales hombres <102 cm, mujeres < 88cm; así mismo para el índice cintura-cadera 0,8 en mujeres y 1 en hombres, acorde a la Organización Mundial de la Salud7, el índice cintura-talla, un nivel saludables se considera inferior a 0.58; el porcentaje de grasa corporal, se realiza una ecuación, Hombres: 63 - (20 x altura/circunferencia) vn: 18 - 24 y Mujeres: 76 - (20 x altura/circunferencia) vn: 25 - 31; la altura (cm) del paciente dividido por la circunferencia de la cintura9. Los biomarcadores serológicos; colesterol total (mg/dl), triglicéridos (mg/dl) y glicemia en ayunas (mg/dl), se hizo con los estuches reactivos colorímetricos de Trinder10y como estilo de vida, la actividad física.
Se utilizaron escalas de detección de riesgo para el presente análisis, ambas escalas (con diferentes niveles cada una) se dicotomizaron. En la escala de FINDRISC se consideró el puntaje >1411como línea de corte entre riesgo alto y riesgo bajo; En el puntaje STOP-NIDDM risk-score para predicción a los 2,5 años se consideró a 10 puntos como mínimo para determinar riesgo alto12(Tablas 1 y 2)11 12.
Tabla 1. Puntuación para riesgo de Findrisc Diabetes Risk Score
| Puntuación total | Interpretación |
|---|---|
| Menos de 7 puntos | Nivel de riesgo bajo |
| De 7 a 11 puntos | Nivel de riesgo ligeramente elevado |
| De 12 a 14 puntos | Nivel de riesgo moderado |
| De 15 a 20 puntos | Nivel de riesgo alto |
| Más de 20 puntos | Nivel de riesgo muy alto |
(FINDRISC)11
Tabla 2. Predicción individual para diabetes STOP-NIDDM
| Puntos | Riesgo de DM (%) |
|---|---|
| 0 | 12,51 |
| 1 | 14,46 |
| 2 | 16,70 |
| 3 | 19,23 |
| 4 | 22,10 |
| 5 | 25,32 |
| 6 | 28,92 |
| 7 | 32,91 |
| 8 | 37,29 |
| 9 | 42,09 |
| 10 | 47,15 |
| 11 | 52,56 |
| 12 | 58,18 |
| 13 | 63,92 |
| 14 | 69,63 |
| 15 | 75,18 |
| 16 | 80,39 |
| 17 | 85,11 |
| 18 | 89,21 |
risk-score12
Procedimiento
La recolección de datos se realizó a través de la ficha médica electrónica elaborada por el personal de medicina ocupacional, estos datos obtenidos fueron ingresados a un archivo de Excel, para luego ser procesados al programa SPPS versión 25 y el Diagnostic test calculator version 2010042101.
Análisis estadísticos
Se realizó en dos etapas. Primero se evaluaron todas las variables individualmente a través de las curvas ROC, comparándolas con los resultados dicotomizados de la prueba FINDRISC, siendo el determinante para incluir como variable relevante, la medida del AUC, así como su IC. Mediante el índice de Youden se dicotomizaron los resultados de las variables elegidas, para clasificarlas en dos grupos según su predictibilidad del riesgo. A través de una matriz de confusión, se contrastaron los resultados con un Gold Standard (resultados dicotomizados de la prueba STOP - NIDDM) y se obtuvieron los True positive y true negative. Finalmente, con estos valores, se obtuvieron las características de la prueba de diagnóstico mediante el Diagnostic test calculator version 201004210113.
En una segunda etapa, se utilizó la regresión logística, asumiendo como variable dependiente la puntuación STOP-NDDIM (Dicotomizada para la regresión logística: riesgo bajo<10=; riesgo alto>10) con 4 variables cualitativas y 13 cuantitativas al inicio del proceso. La elección de las variables independientes relevantes se realizó un análisis de correlación bivariado entre la variable dependiente y cada variable independiente. Para las variables cualitativas se utilizó una prueba x2, mientras que para las cuantitativas se utilizaron las pruebas t de Student y U de Mann Witney. Luego se realizó un análisis de regresión logístico univariante para elegir las variables que tenían un mejor comportamiento. Finalmente, se aplicó un análisis multivariante hacia delante de Wald.
RESULTADOS
Existen muchas escalas para predecir diabetes, pero la más usada es la escala de Findrisc, permite valorar el riesgo de desarrollar la enfermedad en 10 años, usando un puntaje mayor a 14, que representa un riesgo ligeramente alto. Con las curvas ROC y el AUC (prueba de referencia: el puntaje FINDRISC, que divide a la muestra en dos grupos, bajo riesgo (<14) y alto riesgo (>14)) de los siguientes indicadores antropométricos: Edad, presión sistólica y diastólica, antecedentes patológicos familiares y personales, actividad física, glicemia, colesterol, triglicéridos, peso, talla, IMC, perímetro abdominal, índice cintura-cadera, índice cintura-talla y porcentaje de grasa corporal. Se obtuvieron mejores resultados con glicemia, perímetro abdominal e índice cintura-talla (figura 1). El perímetro abdominal obtuvo mayor poder discriminativo para predecir la diabetes (AUC=0,747; p <0,001; IC: 0,624-0,870), en comparación a la glicemia (AUC=0,749; p<0,001; IC: 0,645-0,852) y el índice de cintura-talla (AUC=0,737; p=0,001; IC: 0,638-0,836). En la tabla 1 se muestra el índice de Youden, la sensibilidad y especificidad de las pruebas.
Tabla 3. Puntos de corte de las coordenadas de la curva ROC.
| Parámetro | Índice de Youden | Punto de corte | Sensibilidad | 1 - Especificidad |
|---|---|---|---|---|
| Glicemia | 0.398 | 103.50 | 0.522 | 0.123 |
| Perímetro abdominal | 0.302 | 84.5000 | 0.957 | 0.654 |
| Índice cintura-talla | 0.481 | 0.5477 | 0.913 | 0.432 |
Los puntos de corte permitieron dicotomizar las variables (los que tenían alto riesgo de tener diabetes en el futuro y los que no), para contrastarlas con un Gold Estándar (los valores de la prueba STOP-NIDDM, con 10 puntos como mínimo para determinar el riesgo alto) a través de una matriz de confusión. Los mejores resultados se obtuvieron en la variable glicemia y perímetro abdominal. Para la glicemia se obtuvieron True Positive=6, False Positive=16, False Negative=6 y True Negative=76. De la misma manera se obtuvieron los siguientes valores para el perímetro abdominal, TP=2, FP=6, FN=10 y TN=86. Se utilizó el Diagnostic test calculator con estos valores, para obtener las características de la prueba de diagnóstico de ambas variables (tabla 2).
Tabla 4. Características de la prueba de diagnóstico.
| Características | Glicemia | Perímetro abdominal | |
|---|---|---|---|
| Prevalencia | 0,115 | 0,115 | |
| Sensibilidad | 0,495 | 0,167 | |
| Especificidad | 0,828 | 0,935 | |
| + LR | 2,88 | 2,56 | |
| -LR | 0,61 | 0,89 | |
| Prueba positiva | Razón de probabilidad positiva (IC, 95%) | 2,88 (1,39-5,96) | 2,56 (0,58-11) |
| Probabilidad posterior (IC, 95%) | 27% (15%-44%)a | 25% (7%-59%)c | |
| Prueba negativa | Razón de probabilidad negativa (IC, 95%) | 0,61 (0,35-1,08) | 0,89 (0,69-1,15) |
| Probabilidad posterior (IC, 95%) | 7% (4%-12%)b | 10% (8%-13%)d | |
a. ~ 1 en 3.7 con prueba positiva están enfermos b. ~ 1 en 1,1 con prueba negativa están bien c. ~ 1 en 4.0 con prueba positiva están enfermos d. ~ 1 en 1,1 con prueba negativa están bien
Los nomogramas de Fagan para la glicemia (izquierda) y el perímetro abdominal (derecha) se muestran en la figura 2.
En una segunda etapa se evaluó qué variables podrían ingresar al análisis de la regresión logística multivariable. A las variables cualitativas se aplicó la prueba X2 (con el valor phi) para medir la asociación de la variable dependiente con cada variable independiente. Las variables con mejores resultados fueron: antecedentes patológicos personales (APP, en adelante: p=0,001; phi=0,312) y antecedentes patológicos familiares (APF: p=0,042; phi=0,2), mientras que las descartadas fueron sexo (p=0,319) y actividad física (p=0,267).
En el caso de las variables cuantitativas, se aplicaron pruebas estadísticas (t de Student para las variables con distribución normal y U de Mann-Whitney para las variables que no poseían una distribución normal) para determinar la diferencia de medias y medianas entre los grupos conformados por la variable dependiente. Las variables elegidas fueron presión sanguínea sistólica (SBP, p=0,018), presión sanguínea diastólica (DBP, p=0,026), glicemia (p=0,031), colesterol (p=0,032), triglicéridos (p=0,006). Y las variables rechazadas fueron edad (p=0,256), IMC (p=0,1), perímetro abdominal (p=0,018 pero Levene = 0,519), medida de cadera (p=0,3), índice cintura/cadera (p=0,022 pero Levene = 0,678), índice cintura/talla (p=0,079) y % de grasa (p=0,759).
En una segunda etapa, se realizó una regresión logística univariante e ingresaron al modelo final: APP (p=0,04), APF (p=0,07), SBP (p=0,117), DBP (p=0,035), glicemia (p=0,039), colesterol (p=0,077) y triglicéridos (p=0,034).
Se aplicó la regresión logística multivariante a seis variables APP, APF, DBP, glicemia, colesterol y triglicéridos, mediante el método hacia delante de Wald. El modelo realizó 5 iteraciones hasta encontrar el mejor, con un -2LL0= 74,386 y un -2LLfinal=66,437. La prueba ómnibus de coeficientes del modelo arroja un X2=7,950 (p=0,005), lo cual permite evaluar el ajuste del modelo. La R cuadrado de Cox y Snell es 0,074, mientras que la R cuadrado de Nagelkerke=0,144. A la vez, el RL 2=0,10 y el Pseudo-R2=0,07.
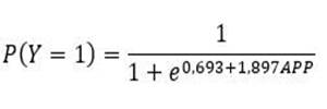
Finalmente, la variable que ingresa en la ecuación fue APP (β=-1,897; p=0,004; Exp(β)=0,150; IC al 95%=0,042-0,542). Por lo tanto, la ecuación de regresión logística queda finalmente definida de la siguiente manera:
DISCUSIÓN
La Organización Mundial de la Salud (OMS) menciona que el número de personas que sufren diabetes en América Latina podría llegar a 32,9 millones para el 2030(14). En ese sentido se hace importante determinar los factores de riesgo de Diabetes en el personal de salud mediante indicadores eficaces, sensibles y específicos. El presente estudio muestra resultados similares con un estudio longitudinal en trabajadores de la salud fue realizado para relacionar el grado de ocupación y factores de riesgo para diabetes tipo 215.
Con el análisis de las curvas ROC, la medida del perímetro abdominal presentó mayor poder discriminativo para predecir la diabetes (AUC=0,747; p<0,001; IC: 0,624-0,870). Esto concuerda con diversos estudios Roos16, Yoon17, Darsini18en los cuales este indicador resultó eficaz en la predicción de riesgo. En un estudio de cohorte, con diferentes puntos de corte se evaluó el peligro de adquirir diabetes19y se determinó que el perímetro abdominal fue la más importante.
Los resultados del análisis de la curva ROC, así como los del diagnostic test calculator, muestran que la prueba de la glicemia (0,522 y 0,495, respectivamente) posee un nivel medio de sensibilidad. Este resultado se asemeja a la medición de la alteración de glucosa en ayunas (>100 mg/dl) en un personal de seguros de salud en Korea, para deteminar riesgo de enfermedades20.
Al realizar la correlación bivariada, las que tienen mayor correlación fueron los antecedentes patológicos personales (APP, en adelante: p=0,001; phi=0,312) y antecedentes patológicos familiares (APF: p=0,042; phi=0,2). A su vez, el análisis de regresión logística multivariante mostró que los APP poseen un poder predictivo (R cuadrado de Nagelkerke=0,144)21, si bien es cierto, este valor es relativamente bajo, es importante señalar que este indicador permite predecir el riesgo de forma matemática. En un mismo modelo de predicción se encontró que los APP tienen una probabilidad de predicción del 40%.22.
LIMITACIONES DE ESTUDIOS
Una de las limitantes es no haber realizado la frecuencia de consumo alimentario, para investigar otro riesgo de predicción. Otra limitación fue no poder haber realizado la determinación de Insulina basal, si esta tiene relación directa con el perímetro abdominal y ser otro predictor para diabetes.
CONCLUSIÓN
El análisis de las curvas ROC muestra que la glicemia y el perímetro abdominal son los mejores predictores de la diabetes. Es conocido que la glucosa sirve para diagnosticar la presencia de diabetes en los pacientes. Por su parte el perímetro abdominal se constituye como un indicador eficaz para poder predecir la presencia de diabetes, tal como lo muestra este estudio y otros realizados en latitudes América Latina y El Caribe.
El análisis de regresión logística multivariable coloca a los antecedentes patológicos familiares como una importante variable a la hora de pronosticar la probabilidad de tener diabetes en el futuro. La diferencia de esta ecuación con las pruebas de FINDRISC y otras similares es que la ecuación brinda una probabilidad en función a una sola variable. En cambio, las otras pruebas requieren largos cuestionarios y mediciones de muchas variables. Por lo tanto, una ecuación logística es más versátil a la hora de pronosticar probabilidades. Las mejores variables predictivas del riesgo de diabetes son: índice de glicemia, perímetro abdominal y antecedentes patológicos personales, cada uno con un potencial propio, dependiendo del enfoque con el que se utilice la prueba.










texto en 





