BACKGROUND
Emotional regulation (ER) is defined as any action taken to increase or decrease an emotional response (Gross, 2015). As such, the study of ER and its difficulties constitutes a central aspect of mental health research (Berking & Wupperman, 2012; Cludius et al., 2020; T. Hu et al., 2014). One of the most influential theoretical models for the study of ER is the so-called process model, which pragmatically integrates previous lines of research related to coping (Gross, 2015; McRae & Gross, 2020). This model distinguishes between two families of ER strategies: those focused on antecedents (before the emotional response occurs) and those focused on the emotional response itself (Gross, 1998). In the case of antecedent-focused strategies, the most studied has been cognitive reappraisal, which consists of the cognitive change made by the individual in order to modify their emotional response (Joormann et al., 2010). On the other hand, the strategy focused on the emotional response that has been most studied is expressive suppression, which consists of an attempt to hide the emotional response when it has already occurred (Salters-Pedneault et al., 2010).
Both ER strategies have been studied in relation to different mental health outcomes. In a meta-analysis by T. Hu et al. (2014), a composite variable of “negative mental health indicators” (depression, anxiety, and negative affect) was found to have correlations of -.20 and .25 with reappraisal and suppression, respectively. Examining specific disorders, another meta-analysis found that reappraisal had a negative correlation with depression (r = -.17) and anxiety (r = -.13), although the latter was not significant (Aldao et al., 2010). In the same meta-analysis, suppression was found to have positive and generally higher correlations with depression and anxiety (r = .36 and r = .29, respectively). In a more recent study, cognitive reappraisal was found to correlate negatively with depression (r = -.32) and anxiety (r = -.14), whereas expressive suppression correlated positively (r = .18 and r = .10, respectively) (Preece et al., 2021). Likewise, there is also evidence that both ER variables are associated with suicidal ideation (Forkmann et al., 2014; Ghorbani et al., 2017). For example, Forkmann et al. (2014) found that suicidal ideation was significantly associated with both reappraisal (β = -.10) and suppression (β = .33).
Given the importance of these two strategies for the study of ER, Gross et al. (2003) constructed a specific instrument to measure them: the Emotion Regulation Questionnaire (ERQ). This has been massively used in ER research, to the point that it constitutes the most widely used measure of cognitive reappraisal and expressive suppression (T. Hu et al., 2014). Consequently, it has multiple validation studies (i.e., Cabello et al., 2013; delValle et al., 2022; Moreta-Herrera et al., 2022). In Spanish, the version developed by Rodríguez-Carvajal et al. (2006) has been validated in the Mexican population (Olalde-Mathieu et al., 2022). In Mexico, the fit of the ERQ’s factor structure was marginally acceptable but suboptimal (CFI = .90, RMSEA = .09), so there seems to be room for improvement.
In the literature on the cross-cultural adaptation of instruments, the importance of a systematic translation has been emphasized (Sousa & Rojjanasrirat, 2011), as failing to meet this need may cause the adapted test not to be equivalent to the original (Bader et al., 2021). However, a related but not always addressed problem is that the reading ability of the new population may be different from that of the initial population (Bauer et al., 2022). Moreover, even the instrument in its original form may not be entirely appropriate for the general population. For example, in the US healthcare context, it is recommended that patient materials be written at an academic level at least two grades below the national average (Weiss, 2007). However, reviews of existing instruments have shown that this is not always the case (McHugh & Behar, 2009).
As for the ERQ, the wording of its items may be too complex for people with a low level of education. To quantify this, readability indices can be used, such as the Fernández-Huerta index, for which values of at least 70 are recommended (Ríos-Hernández, 2017). When this index is applied to the Spanish version of the ERQ (Olalde-Mathieu et al., 2022; Rodríguez-Carvajal et al., 2006), a value of 64.59 is obtained, which is considered “normal” but is below what is desired. In this situation, a possible alternative is the ERQ in its version for children and adolescents (ERQ-CA; Gullone & Taffe, 2012). Although this instrument was not designed for the adult population, the content of its items does not preclude its use in this age group. In the review of the scientific literature for the present study, two Spanish versions of the ERQ-CA were found (Martín-Albo et al., 2020; Pastor et al., 2019). When the Fernández-Huerta index is applied to these versions, a value of 87.94 (easy) is found for that of Martín-Albo et al.(2020) and one of 75.65 (somewhat easy) for that of Pastor et al. (2019). This indicates that the ERQ-CA constitutes a promising alternative for the measurement of ER in adults. However, to the authors’ knowledge, the psychometric performance of the ERQ-CA in adults has not yet been examined.
Therefore, the present study aimed to examine the psychometric properties of a simplified version of the ERQ (the ERQ-CA; Gullone & Taffe, 2012) in the Spanish version of Martín-Albo et al. (2020), since it is the one with the highest readability index. Specifically, we examined (a) its internal structure, (b) its internal consistency reliability, (c) the psychometric quality of its items, and (d) its validity evidence based on relations to other variables (specifically, anxiety, depression, and suicidal ideation). Our results should provide a simple and easy-to-understand alternative to measure ER strategies in the Mexican adult population. This is important since instruments designed for the general population should be very simple to read (McHugh & Behar, 2009); likewise, their items should be as short as possible (Hamby & Ickes, 2015). This allows the tests to be suitable for a larger number of people, which in turn is a way of democratizing their use (Weiss, 2007).
METHOD
Design
The present study has an instrumental design, as it focuses on examining the psychometric properties of a measure (Ato et al., 2013).
Participants
The sample consisted of 397 people (77.3% women, 22.7% men), who were recruited by convenience. The only inclusion criteria were to be of legal age and to have lived in Mexico for the last five years. Ages ranged from 18 to 49 (M = 22.84, SD = 4.27). The majority of participants (67.5%) identified themselves as female, 23.9% as male, 6.0% as non-binary (including gender-fluid), and 0.5% as “other”; eight people preferred not to indicate their gender. Also, 40.3% of the sample considered themselves part of the LGTBIQ+ community. The states with the highest representation were the State of Mexico (12.6%), Mexico City (8.3%), and Aguascalientes (8.1%). More than half of the participants had a university education. Also, most of them had had suicidal thoughts during the last year, as well as anxious and depressive symptomatology during the last two weeks. Detailed information about the sample is presented in Table 1.
Instruments
Emotion Regulation Questionnaire for Children and Adolescents (ERQ-CA;Gullone & Taffe, 2012). This instrument was created to measure two emotional regulation strategies (cognitive reappraisal and expressive suppression) in children and adolescents. In the present study, however, it was applied to an adult population. The reappraisal subscale consists of 6 items, whereas the suppression subscale consists of 4 items. In all cases, a Likert scale of 5 response options was presented (1 = Strongly disagree, 5 = Strongly agree). For this research, the Spanish version of Martín-Albo et al. (2020) was used. After an informal pilot application, it was decided to slightly modify the wording of item 3, as it was observed that it seemed to repeat the phrasing of item 1. Originally, the item read “Cuando no quiero sentirme tan mal (p. ej., triste, enfadado), pienso en otra cosa” (When I don’t want to feel so bad (e.g., sad, angry), I think about something else( and was changed to “Cuando no quiero sentirme tan mal (p. ej., triste, enfadado), pienso en algo diferente” (When I don't want to feel so bad (e.g., sad, angry), I think about something different) After this modification, the Fernández-Huerta readability index was 86.74, i.e., it remained “easy” to read (Ríos-Hernández, 2017). The detailed psychometric properties of this measure will be presented in the Results section of this article.
Generalized Anxiety Disorder Scale (GAD-2;Kroenke et al., 2007). This is an ultra-brief measure of symptomatology related to generalized anxiety disorder. It consists of 2 items: “Feeling nervous, anxious or on edge” and “Not being able to stop or control worrying”. Taking the last two weeks as a time frame, people should answer according to the following Likert scale: 0 = Not at all, 1 = Several days, 2 = More than half of the days and 3 = Nearly every day. The GAD-2 has been validated in the Mexican population with good psychometric properties (Gaitán-Rossi et al., 2021). A cut-off point of ≥ 3 was considered adequate to estimate the presence of generalized anxiety disorder, both in the original study (Kroenke et al., 2007) and in the Mexican population. In the present data, the reliability of the scale was good (α = .83; ωcategorical = .82).
Patient Health Questionnaire (PHQ-2;Kroenke, 2003). This ultra-brief instrument measures depressive symptomatology. It uses the following 2 items: “Little interest or pleasure in doing things” and “Feeling down, depressed or hopeless”. Individuals are asked to indicate the extent to which they have experienced both situations during the past two weeks, using the following response scale: 0 = Not at all, 1 = Several days, 2 = More than half of the days, and 3 = Nearly every day. The PHQ-2 has been examined before in a rural Mexican population (Arrieta et al., 2017) and, in line with the original study by Kroenke (2003), a cut-off point of ≥ 3 was found to be adequate to identify depressive symptomatology. In the present study, the reliability of the PHQ-2 was adequate (α = .74; ωcategorical = .74).
Single-item of suicidal ideation. An ad hoc item was constructed to measure suicidal ideation in the last year. This consisted of the following question: “During the last 12 months, how often have you thought about ending your life?”. The response options were as follows: 1 = Never, 2 = Rarely, 3 = Sometimes, 4 = Frequently, and 5 = Always or almost always.
Procedure
A survey was developed on the Google Forms platform, which was distributed through social media (mainly Facebook). The instruments were presented in the following order: a single-item of suicidal ideation (included in the sociodemographic file), ERQ-CA, GAD-2, and PHQ-2. Data collection was conducted in September 2022.
Statistical analysis
First, the descriptive statistics of the ERQ-CA’s items were examined: mean, standard deviation, skewness, kurtosis, percentage of responses, and item-total correlation. A confirmatory factor analysis was then performed using a robust estimator of the maximum likelihood family (MLR). This is feasible when the items analyzed have at least five response options as in the present case (Rhemtulla et al., 2012). This allows a simpler factor model to be applied, rather than a more complex one such as those using polychoric correlations and least squares estimators (e.g., WLSMV). The fit was assessed with the following approximate indices: comparative fit index (CFI), Tucker-Lewis index (TLI), root-mean-square error of approximation (RMSEA), and standardized root-mean residual (SRMR). As a guide, the following goodness-of-fit criteria were consulted: CFI > .95, TLI > .95, RMSEA < .06, SRMR < .08 (L. Hu & Bentler, 1999). In case of not obtaining a good fit, possible re-specifications from the modification indices were evaluated. Next, internal consistency reliability was examined through the alpha (α) and omega (ω) coefficients.
Then, a graded response model (Samejima, 2016), which is part of the item response theory, was applied to each subscale. Discrimination (a) and difficulty (b) parameters were estimated, as well as information curves, which graphically represent the psychometric quality of the items at different levels of the construct (Furr, 2018). Finally, validity evidence based on relations to other variables (in this case, anxiety, depression, and suicidal ideation) was examined, for which Pearson correlation coefficients were estimated. All analyses were performed in the R 4.0.3 program, in which the packages lavaan 0.6-11, semTools 0.5-3, and mirt 1.33.2 were implemented.
Ethical considerations
Participants had to provide informed consent to take part in the study. The questionnaire administration was online and completely anonymous. There were no financial benefits for participants, but a list of free psychological services was shared with them at the end of the form. The project was approved by the Ethics Committee of the Masters and Doctoral Program in Psychology of the Universidad Nacional Autónoma de México.
RESULTS
Item-level descriptive statistics
Table 2 presents the descriptive statistics at the item level. As can be seen, all of them (with the exception of item 4) had means slightly above 3 (i.e., the central option of the scale). Also, it can be seen that all skewness and kurtosis values were approximately within the -1 to +1 range. The responses were distributed among the five options, with no floor or ceiling effects observed in any of the cases. As for the item-total correlations, most were above .30; the only exception was item 1, in which case this value was marginally lower.
Table 2 Item-level descriptive statistics of the ERQ-CA.

Note. g₁ = skewness, g₂ = kurtosis; rit = corrected item-total correlation
Confirmatory factor analysis
In testing the original 10-item model, a below-desirable fit was found (CFI = .91, RMSEA = .07). The modification indices were examined and it was decided to allow for a correlation between the errors of items 1 and 3. In doing so, the fit improved markedly (CFI = .96, RMSEA = .05). However, it was noted that the factor loading of item 1 (λ₁ = .26) was relatively low compared to the other items. Therefore, it was decided to test a third model excluding this item. This last model also presented a good fit (CFI = .95, RMSEA = .06), so, for parsimony, it was selected as the final model. The detailed fit indices of each model are presented in Table 3.
Table 3 Fit indices of the confirmatory factor analyses of the ERQ-CA

Note: X 2 = Chi-squared. df = Degrees of freedom. CFI = Comparative fit index. TLI = Tucker-Lewis inndex. RMSEA = Root mean square error of approximation. SRMR = Standardized root mean square residual. ω = omega coefficient.
Internal consistency reliability was estimated from the factor loadings of this final model (Figure 1). Adequate values were found for both the cognitive reappraisal subscale (α = .76; ω = .77) and the expressive suppression subscale (α = .73; ω = .75).
Graded response model
A graded response model was applied to each subscale separately. In the case of the reappraisal subscale, it was found that the most discriminative item was item 10, while the least discriminative was item 3. Also, the difficulty parameters were similar for all items, with the exception of item 3, which required very low levels of the construct (approximately 4 standard deviations below the mean) to have a 50% probability of selecting the lowest response option (Table 4). For the suppression subscale, the most and least discriminative items were 6 and 4, respectively. Regarding the difficulty parameters, it was observed that item 4 required notably high levels of the construct to select the maximum response option; on the other hand, item 9 required lower levels of the construct to select the lowest response option.
Table 4 Estimated parameters of a graded response model applied to the ERQ-CA

Note. The discrimination (a) and difficulty (b) parameters are presented.
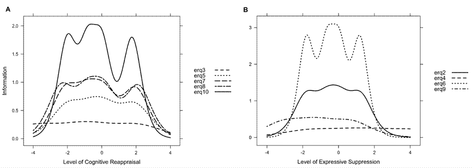
Integrating the discrimination and difficulty parameters, information curves were constructed, which are presented in Figure 2. As can be seen, in both subscales the greatest informative capacity was found at levels closer to the mean. In the case of the reappraisal subscale, it tended to decline at levels above or below 2 SD with respect to the mean. As for the suppression subscale, the decrease in informative capacity occurred approximately outside the range between -2 and +1.5 SD. As can be seen in Figure 2a, the most informative item of reappraisal was item 10, while the least informative was item 3. In the suppression subscale, the most informative item was item 6 and the least informative one was item 4 (Figure 2b).
Associative evidence of validity
Regarding the cognitive reappraisal subscale, significant correlations were found with anxiety (r (395) = -.16, 95% CI (-.25, -.06), p = .002), depression (r (395) = -.18, 95% CI (-.27, -.08), p < .001), and suicidal ideation (r (395) = -.22, 95% CI (-.31, -.12), p < .001). Similarly, the expressive suppression subscale also showed significant correlations with anxiety (r (395) = .21, 95% CI(.11, .30), p < .001), depression (r (395) = .29, 95% CI (.20, .38), p < .001), and suicidal ideation (r (395) = .23, 95% CI (.14, .33), p < .001).
DISCUSSION
The present study examined the psychometric performance of a simplified version of the ERQ (the ERQ-CA) in an adult population. Our results show that, after eliminating one item, the proposed factor model presented a good fit and adequate reliability. Also, both subscales had a higher informative capacity at medium levels of the construct, which supports the usefulness of the ERQ-CA for assessing ER in the general adult population. Moreover, significant correlations were observed in the expected direction with three psychopathological variables: anxiety, depression, and suicidal ideation.
To the authors’ knowledge, this is the first time the ERQ-CA has been used in adults. The results of our study and those reported with the original ERQ show remarkable similarities (Olalde-Mathieu et al., 2022; Preece et al., 2021). However, the present version has the advantage of being simpler and easier to understand. Moreover, having a single simplified version would facilitate comparisons between different age groups (e.g., if the same instrument is applied to children, adolescents, and adults). At this point, it is important to highlight the usefulness of tools designed to quantify the readability of a test, such as the Fernández-Huerta index used in the present study (Ríos-Hernández, 2017). Although this approach has been widely applied in the healthcare field (e.g., Checa-Moreno et al., 2021; Coco et al., 2017), a greater use in psychometric studies is lacking.
Derived from the findings of our study, one item (item 1) had to be dropped to achieve an adequate fit, as the error of this item presented a significant covariation with the error of item 3. It is worth mentioning that such an incidence had already been observed in the original study of the ERQ-CA (Gullone & Taffe, 2012). In order to avoid this situation, we modified item 3 before data collection; however, correlated errors emerged in the data even so. Although it would have been possible to keep the correlated errors in the model, they are undesirable because they make it difficult to interpret the construct measured and may be a sign of an inadequate psychometric model (Dominguez-Lara, 2019). Therefore, it was decided to eliminate one of the two items (item 1), similar to what had already been proposed in previous research (which, however, eliminated item 3 instead of item 1; Rice et al., 2018; Spaapen et al., 2014). Other studies even suggested removing both items (items 1 and 3) to achieve a good fit (Balzarotti, 2021; Gong et al., 2021). However, we considered that this could substantially affect the content validity of the instrument.
Adding to the previous results, the graded response model showed that the items had different psychometric qualities. However, as a whole, they showed better performance at levels close to the mean for both constructs (reappraisal and suppression). This coincides with what was found in a study that applied the graded response model to the original version of the ERQ (Brandão et al., 2017). In that study, both subscales were also found to be more informative at near-average levels. Taken together, this information suggests that the ERQ-CA is most useful when applied to people with average levels of reappraisal or suppression; its quality may be lower in people who have very low or very high levels of these constructs.
Finally, the significant associations between both subscales and a set of psychopathological variables support the use of the ERQ-CA for the study of mental health in the adult population (Aldao et al., 2010; T. Hu et al., 2014). Specifically, significant correlations were hypothesized with anxiety and depression (Aldao et al., 2010; Preece et al., 2021), as well as with suicidal ideation (Forkmann et al., 2014; Ghorbani et al., 2017). These were found as expected.
Limitations and future directions
The present study has some limitations that deserve mention. First, the use of a convenience sample limits the generalizability of the results. Specifically, the study sample was predominantly female, young adult, and college-educated. This is also reflected in the high prevalence of anxious and depressive symptomatology, suggesting a self-selection bias of the participants. Secondly, and related to the above, the small number of male participants prevented us from performing an invariance analysis with regard to sex. This is important, as the literature suggests that there may be differences in the way men and women regulate their emotions (Nolen-Hoeksema, 2012), but an invariance test is needed before meaningful comparisons can be made between these groups (Dimitrov, 2010). Future studies should examine samples with more diverse sociodemographic characteristics, which will allow for the factor equivalence analyses necessary for valid comparisons between groups (Dimitrov, 2010). Third, our study did not include the ERQ for adults among its instruments, which would have been important for comparing the original and simplified versions of the ERQ. Finally, it should be noted that the ERQ (either the original or the simplified one) is not a diagnostic tool, but a dimensional measure that aims to provide a quantitative score of a psychological attribute. Therefore, by definition, there can be no cut-off points. Although this could be seen as a limitation (e.g., because of the absence of sensitivity and specificity values), it is rather a reflection of the theoretical concepts underlying the instrument.
Implications for public health
The ERQ-CA-9 test has the potential to influence public health by offering a more user-friendly and accessible method of measuring cognitive reappraisal and expressive suppression, which are believed to be linked to mental health. The test’s increased readability and simplicity could lead to more participation in research studies, especially among individuals who have been previously underrepresented due to factors such as low literacy or language barriers. The ERQ-CA-9 test could be used in studies that aim to discover how external events impact behavior through psychological means. This test could also provide valuable information for public health policies and programs focused on preventing and treating mental health disorders.
Conclusion
The ERQ-CA, with 9 items, is a promising alternative for measuring ER strategies in the adult population. Unlike the original version of the ERQ, it is easier to read and has similar psychometric performance. Further research should examine additional properties, such as measurement invariance, sensitivity to change, and ability to predict outcomes different from those examined in the present study.

















